데이터 엔지니어
백준 - [Gold 2] 2533번 사회망 서비스(SNS) 본문
문제링크: https://www.acmicpc.net/problem/2533
2533번: 사회망 서비스(SNS)
페이스북, 트위터, 카카오톡과 같은 사회망 서비스(SNS)가 널리 사용됨에 따라, 사회망을 통하여 사람들이 어떻게 새로운 아이디어를 받아들이게 되는가를 이해하는 문제가 중요해졌다. 사회망��
www.acmicpc.net
문제 설명
- N: 정점의 개수
- 친구 관계 (u, v) N-1개 주어짐
위와 같은 입력이 주어졌을 때, 모든 노드와 관계를 맺고있는 최소의 노드 개수를 구하는 문제입니다.
여기서는 얼리어답터라고 칭합니다. 얼리어답터 = 관계를 맺는 주체

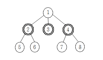
위와 같은 그림이 주어지면 2, 3, 4가 얼리어답터이고 나머지는 얼리어답터가 아닙니다. 최소의 개수는 3입니다.
1, 5, 6, 7, 8도 가능하지만 최소의 개수가 아니여서 정답이 아닙니다.
풀이
트리에다가 DP를 활용한 문제입니다. (저도 아직 정확히 이해하지 못했습니다.... ㅠ)
DP에 대해 정의를 시작해 보겠습니다.
DP(i) = i 를 root로 하는 subtree 의 최소 얼리 어답터 수
하지만 i가 얼리어답터인지 아닌지에 따라 2가지 경우로 나뉨
1. 현재 노드가 얼리어답터 -> 인접한 다음 노드 얼리어답터 x
2. 현재 노드가 얼리어답터 x -> 인접한 다음 노드는 얼리어답터 or x
j 추가 -> i가 얼리어답터인지 아닌지의 여부
최종 점화식
- DP( i, true) = min(DP(i 의 자식, true), DP(i 의 자식, false))들의 총합 + 1
i 가 얼리어답터면은 자식 노드가 얼리어답터인 경우와 아닌 경우 두 부분을 구해야 함
여기에 root가 얼리 어답터니까 + 1
- DP( i, false) = DP(i 의 자식, true) 들의 총합
i 가 얼리어답터가 아닌 경우는 자식 노드는 무조건 얼리어답터 여야함
위와 같이 두가지 경우에 대해서 정답을 구해주어야 하는 문제입니다.
DFS로 각 노드의 하위트리들을 구해주고, 각 노드의 하위트르들을 가지고 DP를 돌려주면 되는 문제입니다.
코드
import sys
from sys import stdin
sys.setrecursionlimit(10**9)
def DFS(cur):
visited[cur] = True
for i in edges[cur]:
if not visited[i]:
child[cur].append(i)
DFS(i)
def get_dp(cur, check):
if check: # 얼리어답터면
# DP( i, true) = min(DP(i 의 자식, true), DP(i 의 자식, false))들의 총합 + 1
if dp[cur][1] != -1:
return dp[cur][1]
dp[cur][1] = 1 # 본인이 얼리어답터니 + 1을 해주는 것이다.
for i in child[cur]: # 하위 노드 탐색
dp[cur][1] += min(get_dp(i, False), get_dp(i, True))
return dp[cur][1]
else: # 얼리어답터가 아니며
# DP( i, false) = DP(i 의 자식, true) 들의 총합
if dp[cur][0] != -1:
return dp[cur][0]
dp[cur][0] = 0 # 얼리어답터가 아니므로 0
for i in child[cur]: # 하위 노드 탐색
dp[cur][0] += get_dp(i, True) #
return dp[cur][0]
stdin = open("input.txt", "r")
# N 노드의 개수
N = int(stdin.readline())
edges = [[] for _ in range(N+1)]
child = [[] for _ in range(N+1)]
# (u, v) N-1개
for _ in range(N-1):
u, v = map(int, stdin.readline().rstrip().split())
# 양방향 추가
edges[u].append(v)
edges[v].append(u)
dp = [[-1, -1] for _ in range(N+1)] # dp 초기화
visited = [False] * (N+1)
DFS(1)
print(min(get_dp(1, False), get_dp(1, True)))
DP를 어려워해서 정답을 보고 풀고 이해하는데도 시간이 많이 걸렸습니다.
풀이는 https://www.weeklyps.com/entry/BOJ-2533-사회망-서비스를 참조해서 하였습니다. 감사합니다.
'프로그래밍(Programming) > 알고리즘(Algorithm)' 카테고리의 다른 글
| 백준 - [Gold 4] 1918번 후위 표기식 (0) | 2020.09.17 |
|---|---|
| 백준 - [Gold 4] 1922번 네트워크 연결 (0) | 2020.09.16 |
| 백준 - [Gold 5] 1916번 최소 비용 구하기 (0) | 2020.09.14 |
| 프로그래머스 월간 코드 챌린지 1 후기 (0) | 2020.09.11 |
| 백준 - [Gold 2] 2623번 음악프로그램 (0) | 2020.09.09 |